一般而言,客户在选择膨胀罐的型号时候需要参考一定的依据,作为膨胀罐而言,有着其选型的相关公式,那么其公式是什么意思,如何利用公式为企业选择合适的膨胀罐,尤孚泵业的小编整理编辑了相关文章。
热力系统中(锅炉、空调、热泵、热水器等)膨胀罐的选型公式如下:
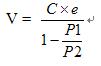
在此公式中
C = 系统中水总容量(包括锅炉、管道、散热器等)
e = 水的热膨胀系数(系统冷却时水温和锅炉运行时的水温的水膨胀率之差,见下表),标准设备中e=0.0359(90℃)

P1=膨胀罐的预充压力(绝对压力) P2=系统运行的压力(绝对压力)推荐阅读:二次供水设备基本参数
V = 膨胀罐的体积
不同温度下水的膨胀率
尤孚泵业一直是膨胀罐行业的供应商,多年的不懈奋斗打造了一批专业化的销售团队以及售后服务团队,会根据您的需求,开发定制,让您省心,放心。更多阅读:膨胀罐如何选型
尤孚泵业是一家全球化的水泵产品和系统制造商。我们提供先进的产品、服务和解决方案,满足您的多元需求。




